ACTIEF - DESKUNDIG - DICHTBIJ - EN LEUK
De KCWF is een vereniging. Op de derde woensdag van april houdt de KCWF haar jaarlijkse Algemene Leden Vergadering. In de Algemene Leden Vergadering legt het bestuur zijn verantwoording af over de gang van zaken in het voorgaande jaar en vraagt het goedkeuring voor de begroting van het komende jaar. Ook vindt de benoeming van de bestuursleden plaats in de Algemene Leden Vergadering. Bestuursleden worden voor 3 jaar benoemd en kunnen herbenoemd worden. Het bestuur nodigt al haar leden uit om hierbij aanwezig te zijn. De vergadering vindt plaats in de 'Dog Out' in Heerhugowaard, de aanvang is 20.00 uur.
Zodra de benodigde stukken voor de ALV zijn gepubliceerde kun je deze downloaden. in de kolom links.
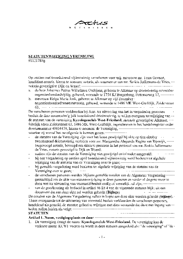
Zoals elke vereniging heeft ook de KCWF Statuten. De Statuten van 10 oktober 2023 vind je in de kolom rechts.
Hier kun je de stukken benodigd voor de ALV downloaden
|
|
Naam: statuten-kcwf-10-okt-2023 | Download |
| Type: pdf | ||
| Grootte: 422 kB | ||
| 2025 |
Activiteit
|
||||
|---|---|---|---|---|---|
|
Categorieën
|
|||||
|
|
|||||
| november | |||||
| 6 |
november
donderdag (deel 1 / 3) |
|
Test basis1 Heerhugowaard Nog 5 plaatsen beschikbaar |
||
| 6 |
november
donderdag (deel 1 / 3) |
|
Test basis1 Heerhugowaard Nog 5 plaatsen beschikbaar |
||
| 7 |
november
vrijdag (deel 1 / 2) |
|
TEST cursus Tegenover Boekel 36 smalle ingang |
||
| 7 |
november
vrijdag (deel 1 / 2) |
|
TEST cursus Tegenover Boekel 36 smalle ingang |
||
| 13 |
november
donderdag (deel 3 / 3) |
|
Test basis1 Heerhugowaard Nog 5 plaatsen beschikbaar |
||
| december | |||||
| 25 |
december
donderdag |
|
Test Test Test 01 Heiloo / Tegenovern Boekel 39 (Verf.nl) |
||
| 2026 | |||||
| januari | |||||
| 15 |
januari
donderdag (deel 1 / 14) |
|
Test basis1 kopie Heerhugowaard Nog 5 plaatsen beschikbaar |
||
| 29 |
januari
donderdag (deel 2 / 14) |
|
Test basis1 kopie Heerhugowaard Nog 5 plaatsen beschikbaar |
||
| februari | |||||
| 2 |
februari
maandag |
|
Test Heiloo heiloo |
||
| 5 |
februari
donderdag (deel 3 / 14) |
|
Test basis1 kopie Heerhugowaard Nog 5 plaatsen beschikbaar |
||
| 12 |
februari
donderdag (deel 4 / 14) |
|
Test basis1 kopie Heerhugowaard Nog 5 plaatsen beschikbaar |
||
| 19 |
februari
donderdag (deel 5 / 14) |
|
Test basis1 kopie Heerhugowaard Nog 5 plaatsen beschikbaar |
||
| 26 |
februari
donderdag (deel 6 / 14) |
|
Test basis1 kopie Heerhugowaard Nog 5 plaatsen beschikbaar |
||
| maart | |||||
| 5 |
maart
donderdag (deel 7 / 14) |
|
Test basis1 kopie Heerhugowaard Nog 5 plaatsen beschikbaar |
||
| 12 |
maart
donderdag (deel 8 / 14) |
|
Test basis1 kopie Heerhugowaard Nog 5 plaatsen beschikbaar |
||
| 19 |
maart
donderdag (deel 9 / 14) |
|
Test basis1 kopie Heerhugowaard Nog 5 plaatsen beschikbaar |
||
| 26 |
maart
donderdag (deel 10 / 14) |
|
Test basis1 kopie Heerhugowaard Nog 5 plaatsen beschikbaar |
||
| april | |||||
| 2 |
april
donderdag (deel 11 / 14) |
|
Test basis1 kopie Heerhugowaard Nog 5 plaatsen beschikbaar |
||
| 9 |
april
donderdag (deel 12 / 14) |
|
Test basis1 kopie Heerhugowaard Nog 5 plaatsen beschikbaar |
||
| 16 |
april
donderdag (deel 13 / 14) |
|
Test basis1 kopie Heerhugowaard Nog 5 plaatsen beschikbaar |
||